PK-Sim学习笔记 在人类中枢神经系统(CNS)及脑肿瘤内,药物在不同部位与不同时间下的渗透与暴露通常难以直接测量。然而开发这类药物过程中,却需要对药物的局部暴露进行相关探究。 本篇文章主要是开发了一个九隔室的CNS-PBPK模型,来反映人体CNS与脑肿瘤的总体解剖结构以及病理生理异质性。并用6种药物建模来验证模型结构的稳定性和可迁移性。 本研究可基于血药浓度-时间曲线实现对CNS与脑肿瘤部位的PK行为预测,为脑肿瘤药物研发与临床治疗方案优化提供重要工具。特别重要的是,本研究附件中提供了模型构建的相关代码,非常值得大家去复现研究! 研究背景 许多新药与既有药物在人体CNS及脑肿瘤内的PK行为仍然理解不足,甚至存在误解。主要原因有如下: ① 在人体脑组织与脑肿瘤内部实现不同部位、不同时间采样非常困难; ② 现有影像与分析技术也存在限制。 由于缺乏对药物在CNS/肿瘤中PK行为的定量认识,使得脑肿瘤新药研发长期面临高失败率,亟需创新方法补足这一知识缺口。 PBPK建模提供了一种机制型的定量预测框架:可将系统生理参数与药物特异性参数纳入模型,并通过机制尺度换算将体外信息外推至体内过程,从而预测CNS的PK行为。例如,可利用体外跨细胞通透与转运体动力学数据,通过外推尺度换算来预测人类血脑屏障(BBB)处的被动通透以及转运体介导的外排/摄取清除。 已有的“4-腔室脑PBPK模型”将脑区简化为脑血、脑组织团块、颅侧CSF与脊髓CSF四个腔室,虽已用于预测多种抗肿瘤药在正常脑与CSF中的药代并为药物选择与给药方案提供定量依据,但其关键局限在于将整个脑实质视为单一均质腔室,难以刻画脑内与肿瘤内不同部位的异质性。另一个更复杂的平台可预测脑实质与多个CSF腔室的浓度,但主要建立于啮齿类数据并未专门纳入不同脑位置及不同肿瘤区域结构,因此仍不足以直接预测脑或肿瘤内部的空间差异。 为克服这些限制,本研究建立了一个新的9-腔室、通透性受限的CNS PBPK模型:将脑实质划分为“靠近CSF通道的浅表实质”与“距离CSF通道超过一定距离的深部实质”;将肿瘤划分为“肿瘤边缘、肿瘤主体、肿瘤核心”;并设置多个CSF腔室(脑室、颅侧蛛网膜下腔、脊髓蛛网膜下腔)。模型结构依据人体CNS与脑肿瘤的通用解剖与病理生理异质性设计。药物在这九个腔室间的进入与分布由血浆浓度-时间曲线作为输入驱动,受多种动态且相互作用的过程共同控制:包括跨BBB/血-肿瘤屏障/血-CSF屏障的被动通透与转运体介导的主动转运,以及CNS内部在CSF、脑实质与肿瘤之间由扩散与对流性体液交换共同决定的分布过程。研究人员选取6种具有不同理化性质与血浆药代特征、并在胶质母细胞瘤临床试验中获得血浆/肿瘤/CSF药代数据的药物,用于模型建立与验证。  浅表脑实质 vs 深部脑实质 该模型将脑实质分为两类:一类紧邻CSF通道的浅表实质,另一类为距离CSF通道较远的深部实质。该划分基于不同区域存在不同主导分布机制的证据: •对于多数小分子药物,CSF与其邻近脑组织之间可通过分子大小相关的扩散较快达到近似平衡,因此浅表实质的游离药物暴露常与CSF相近。研究人员发现6种药物中的5种呈现这一特征。 •例外情况是ceritinib:其浅表实质的游离暴露明显低于CSF。研究人员认为,这更可能由其在脑/肿瘤组织中的极强结合导致“达到平衡的过程非常缓慢”,从而使“组织结合而非扩散”成为限制步骤。 深部脑实质的暴露主要受BBB通透与转运限制。扩散不足以解释CSF与深部脑实质之间的交换;深部区域更依赖相对缓慢的对流性体液交换通路。因此,深部脑实质的游离药物暴露更取决于药物跨BBB进入脑组织的程度(可用Kp,uu等指标表征)。 •当BBB转运主要由被动通透主导时,Kp,uu往往更接近1; •当药物为BBB外排转运体底物且外排占主导时,Kp,uu会显著低于1。 研究人员据此指出:对外排转运体底物较弱的药物,深部脑实质的渗透程度相对更高;而强底物药物在深部脑实质的渗透明显更受限。 CSF浓度可能高估深部脑实质游离浓度,这与血-CSF屏障转运有关。研究人员强调:某些转运体在血-CSF屏障处的定位可能使其在“血液→脑室CSF”的方向上表现为“促进CSF侧出现更高暴露”的现象。因此,对强外排底物药物,脑室/颅侧CSF中的游离暴露可能显著高于深部脑实质,提示用CSF浓度替代深部脑组织暴露可能产生系统性高估。相反,对跨BBB主要依赖被动通透且外排影响较小的药物,CSF浓度更可能作为脑组织游离浓度的近似替代。 不同CSF腔室的差异,如脑室/颅侧CSF相近,脊髓CSF更低。模型能够同时预测脑室CSF、颅侧蛛网膜下腔CSF与脊髓蛛网膜下腔CSF的浓度-时间过程。研究人员发现: •对所有6种药物,脑室CSF与颅侧CSF的曲线相近; •脊髓CSF的药物暴露更低。 研究人员认为这与CSF循环的解剖与动力学相关:脑室与颅侧空间相邻且更易迅速混合;而脊髓CSF腔室体积更大,可能导致浓度“稀释”。因此,临床上常用腰穿获取的脊髓CSF浓度不应被简单视为脑室/颅侧CSF浓度的等价替代。 CSF暴露的个体差异主要来源是血浆PK差异。研究人员指出,临床观察到的CSF浓度存在明显个体差异。模型模拟显示,当输入采用血浆浓度-时间曲线的不同分位水平时,预测的CSF浓度范围能够覆盖大部分临床观测值,提示血浆药代个体差异是CSF暴露差异的重要驱动因素;其余差异可能还与血-CSF屏障完整性与CSF循环动力学的个体差异有关。总体而言,模型对CSF药代及其个体差异的预测表现良好。  脑肿瘤内的PK行为 (1) 肿瘤渗透与暴露存在显著的个体间差异与肿瘤内差异:在胶质母细胞瘤患者中,6种药物均表现出显著的个体间差异与肿瘤内差异: •肿瘤渗透程度(例如Kp,uu)差异主要来源于肿瘤病理生理异质性,如血-肿瘤屏障完整性、外排转运体表达水平、肿瘤间质pH对离子化的影响、组织组成与蛋白外渗对组织结合的影响,以及与对流交换相关的体液动力学差异。 •肿瘤暴露水平(例如Css)则同时受肿瘤异质性与血浆药代个体差异驱动。 (2) 从正常脑到肿瘤边缘/主体/核心:渗透程度总体递增:模型在结构上显式纳入正常脑与三个肿瘤区域的差异,使其能够预测药物渗透从深部正常脑实质到肿瘤边缘、肿瘤主体、肿瘤核心逐步增强的总体趋势。研究人员强调,这一递增趋势源于多个方向一致的病理改变:屏障更“渗漏”、转运体表达下降、间质更酸性、组织结合与体液交换条件改变等。 同时,临床上观测到的“非强化区/强化区”肿瘤渗透指标在很大程度上互相重叠,并落入模型对不同肿瘤区域的预测范围内,提示模型能够解释并捕捉现实中的肿瘤内与个体间差异。 (3) 同时纳入血浆PK差异与肿瘤异质性后:能较好覆盖肿瘤暴露范围。当将血浆PK的个体差异与脑/肿瘤异质性共同纳入后,模型预测的肿瘤游离浓度范围能够较好覆盖临床观察到的肿瘤游离浓度分布,说明该模型在解释肿瘤暴露差异方面具有较好的机制一致性与预测能力。 模型复现 最后,郑澳乐同学对此模型进行了相关复现,由于文章药物过多,这里选择对abemaciclib进行模型复现结果进行展示。 PopPK模型的复现: PopPK模型参数如下表所示,
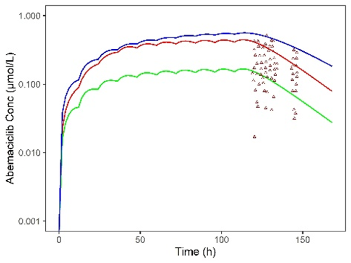
 模型模拟和实测原文图和复现图片如下:
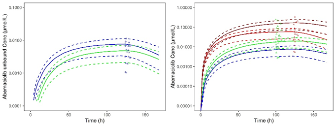
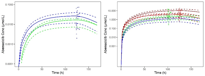
  复现(左图) mPBPK模型代码和相关参数结果见附件,这里仅展示模型复现结果: 原文:  复现:  原文:  复现:  参考资料 [1] Li J, Wickramasinghe C, Jiang J, Wu A, Jiang Y, Tovmasyan A, Kim S, Sanai N. Mechanistic Modeling of Spatial Heterogeneity of Drug Penetration and Exposure in the Human Central Nervous System and Brain Tumors. Clin Pharmacol Ther. 2025 Mar;117(3):690-703.
|